Skip to main content
GutCited

L-Glutamine चित्र

6 सहकर्मी-समीक्षित शोध से आंकड़े

सभी Psyllium Husk Bifidobacterium lactis Fructooligosaccharides (FOS) Lactobacillus plantarum Peppermint Oil Pancreatic Enzymes (Pancrelipase) Curcumin Vitamin A Medium-Chain Triglycerides (MCT Oil) Galactooligosaccharides (GOS) Lactobacillus gasseri Aloe Vera (Inner Leaf Gel) Alpha-Galactosidase Vitamin D L-Glutamine Inulin Ginger Lactase Berberine Omega-3 Fatty Acids (EPA/DHA) Bovine Colostrum Zinc Bifidobacterium bifidum Butyrate (Sodium/Calcium Butyrate) Bacillus coagulans Saccharomyces boulardii Lactobacillus acidophilus N-Acetyl Cysteine (NAC) Bifidobacterium longum
All Types Chart Diagram Photograph Flowchart Forest Plot Micrograph Other
Figure 2
Figure 2

Reduced excitatory neurotransmitter levels in anterior insulae are associated with abdominal pain …

Figure 3
Figure 3

Reduced excitatory neurotransmitter levels in anterior insulae are associated with abdominal pain …

Figure 4
Figure 4

Reduced excitatory neurotransmitter levels in anterior insulae are associated with abdominal pain …

Figure 1
Figure 1

Cerebral magnetic resonance imaging in quiescent Crohn's disease patients with fatigue.

Figure 3
Figure 3

Cerebral magnetic resonance imaging in quiescent Crohn's disease patients with fatigue.

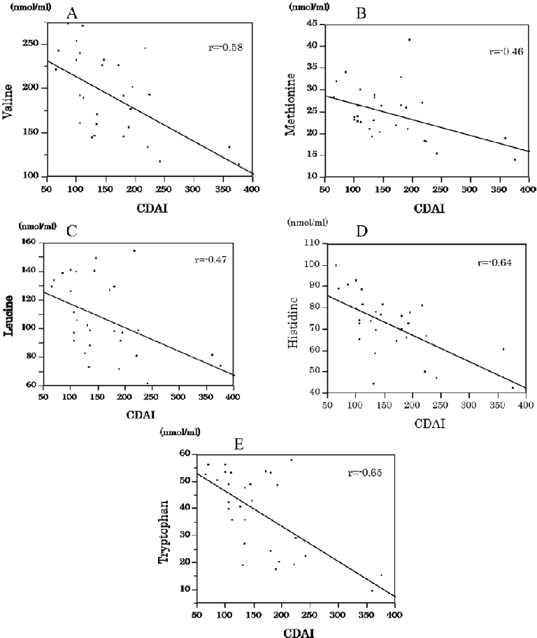
Figure 1. Correlation between CDAI and valine, methionine, leucine, histidine and tryptophan. (A) The concentration of valine was significantly correlated with the CDAI score in patients with CD. (B) The concentration of methionine was significantly corre
Figure 2

Figure 1. Correlation between CDAI and valine, methionine, leucine, histidine and tryptophan. (A) The concentration of valine was significantly correlated with the CDAI score in patients with CD. (B) The …

Plasma-Free Amino Acid Profiles in Crohn's Disease: Relationship With the Crohn Disease …