Skip to main content
GutCited

Vitamin D Gambar

6 gambar dari penelitian yang ditinjau oleh rekan sejawat

Semua Saccharomyces boulardii Lactobacillus acidophilus Bifidobacterium lactis Lactobacillus plantarum Bifidobacterium longum Bifidobacterium bifidum Lactobacillus gasseri Bacillus coagulans Inulin Fructooligosaccharides (FOS) Galactooligosaccharides (GOS) Psyllium Husk Lactase Pancreatic Enzymes (Pancrelipase) Alpha-Galactosidase L-Glutamine N-Acetyl Cysteine (NAC) Peppermint Oil Ginger Berberine Curcumin Zinc Vitamin D Vitamin A Butyrate (Sodium/Calcium Butyrate) Omega-3 Fatty Acids (EPA/DHA) Medium-Chain Triglycerides (MCT Oil) Bovine Colostrum Aloe Vera (Inner Leaf Gel)
All Types Chart Diagram Photograph Flowchart Forest Plot Micrograph Other
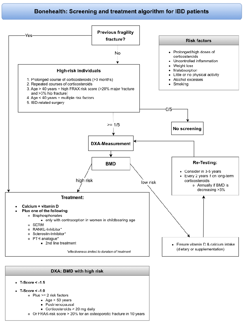
Figure 1 : The screening and treatment algorithm for patients with IBD regarding bone health. This algorithm summarises and simplifies the above screening recommendations and is intended as a practical aid.
Figure 2

Figure 1 : The screening and treatment algorithm for patients with IBD regarding bone health. This algorithm summarises and simplifies the above screening recommendations and is intended as a practical …

Bone health in patients with inflammatory bowel disease.

Figure 2
Figure 2

Overweight and vitamin D deficiency are common in patients with irritable bowel …

*= combination pills. Values are given as number (percentage). Differences were calculated between the two IBS cohorts by Fisher´s exact test. P< 0.05 was considered statistically significant
Figure 3

*= combination pills. Values are given as number (percentage). Differences were calculated between the two IBS cohorts by Fisher´s exact test. P< 0.05 was considered statistically significant

Overweight and vitamin D deficiency are common in patients with irritable bowel …

Figure 4
Figure 4

Overweight and vitamin D deficiency are common in patients with irritable bowel …

Figure 5
Figure 5

Overweight and vitamin D deficiency are common in patients with irritable bowel …

Figure 6
Figure 6

Overweight and vitamin D deficiency are common in patients with irritable bowel …